全站儀的測距精度,有全站儀測距標稱精度、實際測距精度的概念。
標稱精度
全站儀測距標稱精度實際是全站儀的名義測距精度,是廠商對儀器精度的一種標稱。適于系列儀器標識。
實際精度
全站儀測距實際精度,是通過檢定檢測方法得到。對于具體某型號的某一臺儀器檢測其測距綜合精度、加常數和乘常數。不同儀器各數據可能是不同的。
對于一般光波全站儀的測距綜合精度,以及儀器的加常數和乘常數。一般按照JJG100-2003和JJG703-2003進行檢定。
但對于免棱鏡激光全站儀的檢定,嚴格來說我國相關法律規程是沒有的。也只能借助于JJG100-2003和JJG703-2003進行檢定。
擴展閱讀:
影響全站儀測距精度的幾個問題的探討
全站儀已廣泛應用于工程施工測量由于各種原因技術人員在工作中常常存在一些認識或操作上的誤區忽視對全站儀測距精度有很大影響的一些因素。本文對這些問題進行總結、探討。
工程施工中全站儀的使用改變了傳統測量方式減小甚至克服了使用光學測量儀器所無法避免的一些誤差大大提高了測量精度同時隨著高精度全站儀的日趨“平民化”用于施工測量的全站儀普遍為Ⅰ級儀器測距中誤差5mm這些使得技術人員常常忽視《工程測量規范》中規定的、看似無足輕重實際上對測距精度影響很大的因素如氣象改正、三角高程往返測、棱鏡常數設置等。
對于一般工程的測量忽視這些影響因素也能滿足工程施工的精度要求但是在高山地區或進行長大橋、隧控制測量時如果不考慮這些因素的影響測量成果的精度將會大大降低甚至帶入粗差給構建筑物的定位帶來較大的影響難以滿足規范的精度要求。
本文將對工程測量中常見的影響全站儀測距精度的問題進行總結、探討。
一、 氣象改正
全站儀是利用光波在大氣中的傳播速度C為已知這一特性通過測定光波在被測距離上往返傳播的時間來求得距離值的。

如圖1所示。假設載波往返傳播的時間為t則AB的距離
。由此可見全站儀測距準確與否除了傳播時間t還與載波在大氣中的傳播速度C密切相關。
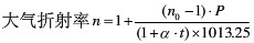
第10屆國際計量大會定義光波在真空中的傳播速度C0=299792458 m/s它可以認為是一個無誤常數。但是我們所需要的是光波在大氣中的傳播速度。由于大氣折射的影響光波在大氣中的傳播速度并不等于其在真空中的傳播速度也不是一個恒定值而是隨大氣折射率的不同而變化。大氣折射率又隨大氣壓、溫度、濕度及氣體成分的不同而變化其中主要的影響因素是大氣壓和溫度根據經驗公式

式中與進口全站儀、氣壓計的默認單位一致大氣壓P的單位以hPa計,1hPa=0.75mmHg溫度t的單位以℃計,α為空氣膨脹系數取1/273.15n0為標準氣象條件下(t=0℃,P=1013.25hPa)的大氣折射率根據科希公式:
(λ為光波波長單位以μm計)。
全站儀設計時是以固定的真空光速和測尺長度在某一氣象條件(儀器的氣象參考點)的折射率為基準來確定調制頻率,使此條件下測得的距離為標準距離。實際作業時應將實際氣象條件下的大氣折射率n與儀器氣象參考點的折射率n基相比較,計算出折射率改正值,從而得出距離改正值△S,即通常所說的氣象改正值。

例如拓普康 GTS-601全站儀采用的載波波長λ=0.82μm氣象參考點為t基=15℃、P基=1013.25hPa,由科希公式得n0=1.000295022,則:

通過對上式求微分,可以計算出該儀器在氣象參考點1km的距離上,溫度變化1℃所產生的測距誤差為0.97mm,大氣壓變化1hPa所產生的測距誤差為0.28mm。為了直觀地加以說明現以采用拓普康GTS-601全站儀施測的贛龍鐵路山尾旗隧道控制導線的測量成果為例,計算測距的氣象改正值表1。

由此可見,對于工程控制測量來說氣象改正是不可忽略的因素,尤其是長基線或在高溫天氣、高海拔地區要嚴格執行《工程測量規范》的規定“當測四等及以上的邊時應量取兩端點的測邊始末的氣象數據計算時應取平均值”,在測距前量取實際的大氣壓和溫度,并輸入到全站儀中直接進行改正。
二、 棱鏡常數設置

由于不同介質的折射率不同,全站儀載波信號在棱鏡中傳播的速度與在大氣中的傳播速度也不同,為了準確計算距離,就必須知道載波信號在棱鏡中傳播的時間差。如圖2說明,棱鏡在設計時根據全站儀所采用的載波波長,計算了一個等效的棱鏡“零位”,據此推算出棱鏡的絕對常數。

式中GN、RN分別為載波在棱鏡和大氣中的折射率;a、b分別為棱鏡前平面到棱鏡錐頂和支架豎軸的距離。
此外有的棱鏡支架設計了兩種不同的裝配方式如拓普康,有一型號的支架正、反面均可以安裝棱鏡,棱鏡常數分別是0和-30相差30mm。
因此測距前一定要詳細了解相配套的棱鏡型號、棱鏡常數及支架的裝配方式,以免給測量成果帶入粗差。如需使用不同的棱鏡,測距前應參照有關規范、說明書仔細測量棱鏡的常數。
三、 全站儀三角高程往返測問題
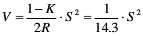
地球表面近似于一個圓球面,由于球差的影響,當地面上兩點間達到一定距離后就互不通視了。此外地球表面的大氣密度分布的總規律是下密上稀,由于氣差的影響,全站儀發射的載波信號在大氣中傳播時必然產生連續折射形成彎向地面的曲線。球差和氣差對高程測量的影響值

式中:R為地球平均曲率半徑,取6371km;K為大氣垂直折光系數,取0.11S為兩點間的距離,單位為km,工程測量的控制點間距離一般較短,相對于地球平均曲率半徑是個微小量,故可用平距代替斜距。
此外在高山地區,當測點平均高程較大,且測點間高差也較大時,還應考慮投影到參考橢球面或測區平均高程面對高差的影響值:

式中h'為兩測點間高差;Hm為兩測點平均高程;ym為兩測點在高斯平面上投影象的橫坐標平均值。
假設S=500m,Hm=500m,h‘=100m,ym=300km。由上兩式得V=0.017m,△h=0.103m。這對工程控制測量來說是不可忽略的影響值。
通過實驗發現K值隨大氣壓和溫度的不同而變化,在中午前后最小,也較穩定,而且K值是小于1的數值,即V恒為正值。如果選擇觀測條件大致相同,特別是同一時間作往返觀測,可以近似地認為K值是相同的,即V值是相同的。對于同一測距邊。往返測量時△h大小相等符號相同。由往返觀測三角高程計算公式h=(h往-h返)/2可知,V和△h對三角高程的影響值可以通過往返測量相互抵消。由此可見往返測量對全站儀三角高程測量的重要性,在實際測量中要認真執行《工程測量規范》的規定,“四、五等光電測距三角高程測量每條邊進行對向觀測”,以保證控制點高程的精度。
四、加常數和乘常數與固定誤差和比例誤差的區別
1、加常數和乘常數
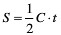
工程上使用的全站儀大多采用相位法測距,即通過測量儀器發出的連續正弦電磁波信號在被測距離上往返傳播所產生的相位差,推算出載波傳播時間,從而求得距離S。測距的主要誤差來源有:大氣折射率的誤差、測尺頻率的誤差、相位的誤差以及加常數的誤差等按其性質可劃 分為三類:①與被測距離無關的誤差通稱為加常數C;②與被測距離成正比的誤差通稱為乘常數R;③周期誤差△SA。這些誤差都屬于系統誤差,需要在觀測值中加以改正,計算公式:

式中:S為經氣象改正后的距離;A為周期誤差振幅;φ0為周期誤差初相角,μ為測尺長度。除了測尺長度需查閱儀器說明書外,各項參數都可以在計量部門出具的“檢定證書”中查到,如表2。

由于電子元件老化等因素的影響,儀器使用一段時間后上述各項誤差指標都會發生較大變化,這將給測距結果帶來不小的影響,因此,要嚴格執行《工程測量規范》的規定:“用于控制測量的光電測距儀每年應送計量檢定單位檢定一次”。當測距精度要求較高時,如隧道控制測量,應根據計量檢定結果對實測距離加以改正,特別是加、乘常數改正。
2、固定誤差和比例誤差
全站儀測距除了上述系統誤差外,還存在著偶然誤差如氣象參數測定的誤差、發射光束不均勻的誤差以及儀器對中的誤差等等。根據統計分析,這些誤差中部分表現出與測量距離無關的特性,通稱為固定誤差,用a表示,單位為mm,部分表現出與測量距離有關的特性,通稱為比例誤差,用b表示,單位為ppm即10-6m。
固定誤差和比例誤差就是通常所說的標稱精度:±(a+b·D),是生產廠家根據對一種型號儀器批量產品的實測資料進行統計分析而得到的作為儀器的合格精度指標,它在一定程度上反映了全站儀所能達到的測距精度,但它并不代表現場作業時的邊長實測精度。實際工作中,這兩項誤差通常用于計算測距限差或中誤差,或者控制網設計時估算測距精度。
五、 測距邊的歸化改正
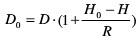
為了使控制測量與施工測量的長度計算能在同一高程面上進行,不致對貫通精度帶來不利影響,平面控制網的測距邊長度一般都要歸算到隧道或橋梁墩頂的平均高程面上,計算公式如下:

式中D為經各項改正后的平距;H0為歸算平均高程面;H為測邊高程。
公路、鐵路工程等專業測量規范都對測距邊的歸化改正作了規定,但其中對于“測邊高程H”的解釋各不相同。《新建鐵路工程測量規范》規定“H為反射鏡高程”隧道部分、“H為儀器與棱鏡橫軸的平均高程橋梁部分”;《工程測量規范》、《公路勘測規范》規定“H為測距邊兩端的平均高程”。徠卡TPS700全站儀《用戶手冊》則指明“平距計算是相對測站高程而言的,并不是鏡站高程”如圖3。

結合測量規范、儀器手冊和工程實踐,筆者認為對于工程測量可按如下方法操作:
每條測距邊往返測量應盡量選擇在觀測條件大致相同的同一時段;測距時,量取測站的大氣壓和溫度,并進行氣象改正;邊長歸化改正計算時,“測邊高程H”選全站儀橫軸(儀器中心)的高程,往返測距的邊長分別歸化改正后再取平均值。
六、 結束語
全站儀給工程測量帶來了諸多便利大大提高了測量精度,但是不同型號的儀器在性能、操作上存在很大差異,工作中應仔細閱讀儀器的《用戶手冊》和相關規范、規定。全面了解所使用儀器的性能、原理、各項參數的意義和設置,做到知其然知其所以然,改正那些認識上和操作上的錯誤,這樣才能避免人為地降低測量成果的精度,真正發揮全站儀高效率、高精度的作用,使之更好地為工程服務。