全站儀從問世到今天,在結構和軟件一直在不斷地完善和發展,從而受到測繪屆的一致歡迎,并成為常規測量中的主導儀器。為了使全站儀功能不斷提升,許多廠商在全站儀中固化了一系列的應用程序,又稱機載應用軟件。PENTAX推出的R-200系列、R-300系列、及R-400系列全站儀都具有偏心測量及遙測功能,遙測可以簡單理解為實時偏心。下面介紹偏心測量的概念、基本方法和精度分析,供各位參考。
偏心測量的概念及原理
為什么要進行偏心測量?何種情況需要偏心測量?
所謂全站儀偏心測量,就是無法在待測點放置棱鏡并測出待測點坐標情況下,將棱鏡放置在與待測點相關的某處間接地測定待測點的位置。這種情況分兩種:a. 通視但無法在待測點放置棱鏡。b. 站點與待測點不通視。相應地偏心測量的方法對于情況a一般采用角度偏心,情況b一般采用距離偏心(單距偏心測量)。
1、角度偏心測量
如圖1所示,全站儀安置在某一已知點A,并照準另一已知點B進行定向;然后將偏心點C(棱鏡)設置在待定點P的右側(或左側),并使其到測站點A的距離與待測點P到測站點的距離相當;接著對偏心點C進行測量,雙擊【遙測】最后再照準P,儀器會自動顯示待測點坐標。其計算公式如下:
- XP=xA+Scosθcos(αAB+β)
- YP=yA+Scosθsin(αAB+β)

式中,S和θ分別為測站點A到偏心點C(棱鏡)的斜距和豎直角;xA,yA為已知點A的坐標;αAB為已知邊的坐標方位角;β為AP與AB的水平夾角,當β為右角時取“-β”。
說明:進行角度偏心測量時,在設定菜單下將遙測方法設置為【圓柱面】。
2、單距偏心測量
如圖2所示,待測點P與測站點A不通視。現欲測定P點,則將全站儀安置在已知點A并照準已知點B定向;將棱鏡設置在待測點P附近一適當位置C。然后輸入待測點P與偏心點C間的距離d和CA與CP的水平夾角γ,并對偏心點C進行觀測,儀器就會自動顯示出待測點的坐標(xP,yP)。其計算公式如下


式中,xC,yC為偏心點C的坐標;β為邊AC與已知邊AB的水平夾角;當β和γ為右角時,上式取“-β”和“-γ”。
3、雙距偏心測量
應用較少,在此不做介紹。
三、偏心測量的應用
在實際應用中,數字化地形測圖會經常用到偏心測量。例如測墻角、測電線桿、測煙囪及其它不通視或不便于安置冷靜的隱蔽點。對于測墻角,根據實際情況一般采用切線偏心或距離偏心來做;對于測量電線桿、煙囪,則采用角度偏心更為方便、準確。
比如測定電線桿、煙囪、油罐等圓柱體中心坐標,其原理是一樣的,即圓柱偏心測量。圓柱偏心測量是上述偏心原理中單距偏心的一種特例,即待測點P為某一圓柱形物體的圓心。

如圖3所示,觀測時全站儀安置在已知點A并照準另一已知點B進行定向;然后將棱鏡放置在圓柱體的一側C點,且使AC與圓柱體相切;輸入圓柱體的半徑R并對偏心點C進行觀測,儀器就會自動計算并顯示出圓柱中心P的坐標。只不過用R和90°代替d和γ。
圓柱偏心測量方法:
- 采用遙測【固定平面】,將棱鏡放置在圓柱體的一側C點,且使AC與圓柱體相切,通過觀測C將C作為參考點,再照準圓柱中心即可顯示其坐標。
- 采用切線偏心,用上述方法將TO的值設為R即可。
- 采用距離偏心,將DO的值設為R,在圓柱中心視線方向上放置棱鏡,通過觀測棱鏡即可得出圓柱中心坐標。
- 采用遙測【圓柱面】,如果R<<AC,可以認為AP=AC,等同角度偏心,參照圖1。
距離偏心有以下四個偏心值可以設定:
- RO:輻射偏心(RO:在水平面上,OFFSET P:沿著測量方向因此是沿著坡度方向)
- VO:垂直偏心(沿鉛垂方向)
- DO:距離偏心(沿測量線,因此是沿坡度線)
- TO:切線偏心(棱鏡放置位置要與站點和待測點成直角)
從RO/VO/DO/TO代表的意義不難看出:
- RO是DO在水平面的投影,當視線水平時,RO=DO。實際上在進行量測距離時多為平距,故RO更具有實際意義。
- VO代表垂直方向上的偏心量,它的改變只會影響點位高程,不會影響平面位置。
- TO與遙測【固定平面】類似,如果SP與Offset P通視,切線偏心測量也可以通過遙測來實現。
- RO,DO,TO均是單距偏心的一個特例。
四、精度分析
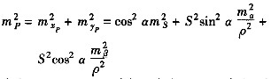
從前面的原理介紹可知,角度偏心和距離偏心都有一個共同的基本公式,為此我們分析公式(1)。對公式(1)求導并轉換為中誤差(不考慮已知點位誤差),可得P點的點位中誤差為

式中,mα和mβ分別為豎直角和水平角的測角中誤差;ms為測距中誤差。
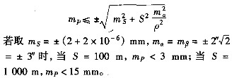
假定mα=mβ,又因cos2α≤1,所以上式可寫成

由此可見,顧及測角和測距誤差,全站儀極坐標法測定一點的平面精度完全可以滿足一般測量工程的要求。但在此基礎上形成的全站儀偏心測量的精度還需要進一步分析。
如角度偏心測量,公式(1)中的S和θ分別為測站點A到偏心點C的斜距和豎直角,并非是A到P的斜距和豎直角;代替的前提是DAP=DAC,若不等,將直接影響待測點的點位中誤差,影響值即為偏差值ΔD= DAC- DAP。因此,角度偏心測量的主要誤差來源于偏心點位置的選取。
對于單距偏心測量,其誤差來源于偏心距d和偏心角γ的測定誤差;對于圓柱測量,其主要誤差來源于半徑R的測定誤差和偏心位置的選取(即AC于CP是否垂直)。